UpThe graph ofvoltageacross achargingcapacitorThe equation forthe potentialdifferencebetween 2 pointsin a uniformelectric fieldThe equationfor the electricpotential dueto a pointcharge2 ways todeterminecapacitivereactanceLS1Current-timeGraph for 2differentcapacitances inan RC circuitA circuit forDISCHARGINGa capacitorEqual tothesourcevoltageAt the momentof switch on foran inductor,what is thevalue of theback EMF?Equationfor backEMFCapacitanceThegradientof a Q vs.V graphPositiveEquationfor timeconstant ofa capacitorThe equationfor the forceacting on acurrent carryingconductor in amagnetic field0The voltageacross theresistor in afully chargedRC circuit.MassspectrometerConsists of anaccelerator,velocityselector, anddeflectorElectricFieldElectricalForce actingper unitpositivechargeCapacitiveReactancetheopposition ofa capacitorto changingcurrent.Equationfor energystored inan inductorCurrent-timeGraph for 2differentresistances inan RC circuitA current-frequencygraph foran inductorThe equationfor themagnetic fieldaround acurrent carryingwireElectricPotentialthe work donein moving unitpositive chargefrom infinity toa point2 ways todetermineinductivereactanceGraph ofcurrent in aDISchargingcapacitorThe equationfor the forceacting on acharge in auniform electricfieldEquationfor chargeon acapacitorThe graphof current ina chargingcapacitorFaradThe unit ofcapacitanceA circuit forCHARGINGa capacitor5After how manytime constantsis a capacitorconsidered tobe fully chargedor discharged?Equation todeterminespeed of lightusingpermittivity andpermeabilityOut ofpageThe equationfor theelectric fielddue to apoint chargeTheequation forcentripetalforceLS2EnergyThe areaunder a Qvs. VgraphDecreaseCapacitancein RC circuitHow can Idecrease thetime taken for acapacitor tocharge ordischarge?He waschargedwith...BATTERY!Why was thecapacitorarrested bythe police?VoltswagonWhat kind ofcar does anelectriciandrive?The equationfor the forcebetween 2chargesElectric fieldpattern for apositivechargeInductiveReactancetheopposition ofan inductorto changingcurrentIncreaseresistancein RCcircuitHow can Iincrease thetime taken for acapacitor tocharge ordischarge?Equation usedto calculateclosestapproachbetween 2charges.SherlockOhms andDoctorWattsonElectric fieldpattern for anegativechargeA current-frequencygraph for acapacitorTimeconstantdefined as thetime taken todischarge thecapacitor to37% of initialchargeHow to findthe initialcurrent in acharging RCcircuitNegativeThe equationfor the forceacting on amoving chargein a magneticfieldUpThe graph ofvoltageacross achargingcapacitorThe equation forthe potentialdifferencebetween 2 pointsin a uniformelectric fieldThe equationfor the electricpotential dueto a pointcharge2 ways todeterminecapacitivereactanceLS1Current-timeGraph for 2differentcapacitances inan RC circuitA circuit forDISCHARGINGa capacitorEqual tothesourcevoltageAt the momentof switch on foran inductor,what is thevalue of theback EMF?Equationfor backEMFCapacitanceThegradientof a Q vs.V graphPositiveEquationfor timeconstant ofa capacitorThe equationfor the forceacting on acurrent carryingconductor in amagnetic field0The voltageacross theresistor in afully chargedRC circuit.MassspectrometerConsists of anaccelerator,velocityselector, anddeflectorElectricFieldElectricalForce actingper unitpositivechargeCapacitiveReactancetheopposition ofa capacitorto changingcurrent.Equationfor energystored inan inductorCurrent-timeGraph for 2differentresistances inan RC circuitA current-frequencygraph foran inductorThe equationfor themagnetic fieldaround acurrent carryingwireElectricPotentialthe work donein moving unitpositive chargefrom infinity toa point2 ways todetermineinductivereactanceGraph ofcurrent in aDISchargingcapacitorThe equationfor the forceacting on acharge in auniform electricfieldEquationfor chargeon acapacitorThe graphof current ina chargingcapacitorFaradThe unit ofcapacitanceA circuit forCHARGINGa capacitor5After how manytime constantsis a capacitorconsidered tobe fully chargedor discharged?Equation todeterminespeed of lightusingpermittivity andpermeabilityOut ofpageThe equationfor theelectric fielddue to apoint chargeTheequation forcentripetalforceLS2EnergyThe areaunder a Qvs. VgraphDecreaseCapacitancein RC circuitHow can Idecrease thetime taken for acapacitor tocharge ordischarge?He waschargedwith...BATTERY!Why was thecapacitorarrested bythe police?VoltswagonWhat kind ofcar does anelectriciandrive?The equationfor the forcebetween 2chargesElectric fieldpattern for apositivechargeInductiveReactancetheopposition ofan inductorto changingcurrentIncreaseresistancein RCcircuitHow can Iincrease thetime taken for acapacitor tocharge ordischarge?Equation usedto calculateclosestapproachbetween 2charges.SherlockOhms andDoctorWattsonElectric fieldpattern for anegativechargeA current-frequencygraph for acapacitorTimeconstantdefined as thetime taken todischarge thecapacitor to37% of initialchargeHow to findthe initialcurrent in acharging RCcircuitNegativeThe equationfor the forceacting on amoving chargein a magneticfield

S6 Electromagnetism Bingo - Call List

(Print) Use this randomly generated list as your call list when playing the game. There is no need to say the BINGO column name. Place some kind of mark (like an X, a checkmark, a dot, tally mark, etc) on each cell as you announce it, to keep track. You can also cut out each item, place them in a bag and pull words from the bag.


1
2
3
4
5
6
7
8
9
10
11
12
13
14
15
16
17
18
19
20
21
22
23
24
25
26
27
28
29
30
31
32
33
34
35
36
37
38
39
40
41
42
43
44
45
46
47
48
49
50
51
52

  1. Up
  2. The graph of voltage across a charging capacitor
  3. The equation for the potential difference between 2 points in a uniform electric field
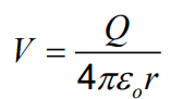
  4. The equation for the electric potential due to a point charge
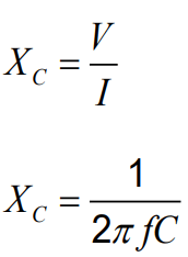
  5. 2 ways to determine capacitive reactance

  6. LS1
  7. Current-time Graph for 2 different capacitances in an RC circuit
  8. A circuit for DISCHARGING a capacitor
  9. At the moment of switch on for an inductor, what is the value of the back EMF?
    Equal to the source voltage
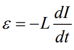
  10. Equation for back EMF
  11. The gradient of a Q vs. V graph
    Capacitance

  12. Positive
  13. Equation for time constant of a capacitor
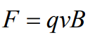
  14. The equation for the force acting on a current carrying conductor in a magnetic field
  15. The voltage across the resistor in a fully charged RC circuit.
    0
  16. Consists of an accelerator, velocity selector, and deflector
    Mass spectrometer
  17. Electrical Force acting per unit positive charge
    Electric Field
  18. the opposition of a capacitor to changing current.
    Capacitive Reactance
  19. Equation for energy stored in an inductor
  20. Current-time Graph for 2 different resistances in an RC circuit
  21. A current-frequency graph for an inductor
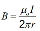
  22. The equation for the magnetic field around a current carrying wire
  23. the work done in moving unit positive charge from infinity to a point
    Electric Potential
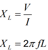
  24. 2 ways to determine inductive reactance
  25. Graph of current in a DIScharging capacitor
  26. The equation for the force acting on a charge in a uniform electric field
  27. Equation for charge on a capacitor
  28. The graph of current in a charging capacitor
  29. The unit of capacitance
    Farad
  30. A circuit for CHARGING a capacitor
  31. After how many time constants is a capacitor considered to be fully charged or discharged?
    5
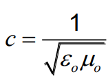
  32. Equation to determine speed of light using permittivity and permeability

  33. Out of page
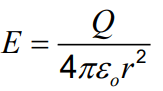
  34. The equation for the electric field due to a point charge
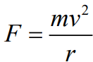
  35. The equation for centripetal force

  36. LS2
  37. The area under a Q vs. V graph
    Energy
  38. How can I decrease the time taken for a capacitor to charge or discharge?
    Decrease Capacitance in RC circuit
  39. Why was the capacitor arrested by the police?
    He was charged with... BATTERY!
  40. What kind of car does an electrician drive?
    Voltswagon
  41. The equation for the force between 2 charges
  42. Electric field pattern for a positive charge
  43. the opposition of an inductor to changing current
    Inductive Reactance
  44. How can I increase the time taken for a capacitor to charge or discharge?
    Increase resistance in RC circuit
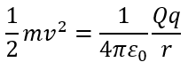
  45. Equation used to calculate closest approach between 2 charges.
  46. Sherlock Ohms and Doctor Wattson
  47. Electric field pattern for a negative charge
  48. A current-frequency graph for a capacitor
  49. defined as the time taken to discharge the capacitor to 37% of initial charge
    Time constant
  50. How to find the initial current in a charging RC circuit

  51. Negative
  52. The equation for the force acting on a moving charge in a magnetic field