Used todetermineif a graph isa function{(0,1)(2,-5)(4,-11)(6,-17)}YaverticallineNoYesX{(1,0)(2,12)(6,5)(1,-3)}A relationthat pairsinputs withoutputsA relationthat has aconstant rateof changeUsed todetermineif a graph isa function{(0,1)(2,-5)(4,-11)(6,-17)}YaverticallineNoYesX{(1,0)(2,12)(6,5)(1,-3)}A relationthat pairsinputs withoutputsA relationthat has aconstant rateof change

Function Bingo - Call List

(Print) Use this randomly generated list as your call list when playing the game. There is no need to say the BINGO column name. Place some kind of mark (like an X, a checkmark, a dot, tally mark, etc) on each cell as you announce it, to keep track. You can also cut out each item, place them in a bag and pull words from the bag.


1
2
3
4
5
6
7
8
9
10
11
12
13
14
15
16
17
18
19
20
21
22
23
24
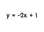
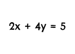
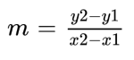
  1. Used to determine if a graph is a function
  2. {(0,1) (2,-5) (4,-11) (6,-17)}
  3. Y
  4. a vertical line
  5. No
  6. Yes
  7. X
  8. {(1,0) (2,12) (6,5) (1,-3)}
  9. A relation that pairs inputs with outputs
  10. A relation that has a constant rate of change