tanoarsutmorupcetName offounder ofKumonomknuWhat istheKumonRRLEvaluatef(2) - f(1)f(x) =6x + 1TownKumonwasfoundedHighestLevel ofKumonMathsuiatrncHighestLevel ofKumonReadinglotycrocmeYearCroftonKumonstartednasruatertiznohro# ofemployees@ KumonSolve|-2 x + 2|-3 = -3#IG posts@adreameducationoaragnokzeprtelState Ms.Jacquiewas borntanoarsutmorupcetName offounder ofKumonomknuWhat istheKumonRRLEvaluatef(2) - f(1)f(x) =6x + 1TownKumonwasfoundedHighestLevel ofKumonMathsuiatrncHighestLevel ofKumonReadinglotycrocmeYearCroftonKumonstartednasruatertiznohro# ofemployees@ KumonSolve|-2 x + 2|-3 = -3#IG posts@adreameducationoaragnokzeprtelState Ms.Jacquiewas born

Kumon of Crofton - Call List

(Print) Use this randomly generated list as your call list when playing the game. There is no need to say the BINGO column name. Place some kind of mark (like an X, a checkmark, a dot, tally mark, etc) on each cell as you announce it, to keep track. You can also cut out each item, place them in a bag and pull words from the bag.


1
2
3
4
5
6
7
8
9
10
11
12
13
14
15
16
17
18
19
20
21
22
23
24
25
26
27
28
  1. tanoarsut
  2. morupcet
  3. Name of founder of Kumon
  4. omknu
  5. What is the Kumon RRL
  6. Evaluate f(2) - f(1) f(x) = 6x + 1
  7. Town Kumon was founded
  8. Highest Level of Kumon Math
  9. suiatrnc
  10. Highest Level of Kumon Reading
  11. lotycrocme
  12. Year Crofton Kumon started
  13. nasruatert
  14. iznohro
  15. # of employees @ Kumon
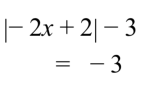
  16. Solve |-2 x + 2| -3 = -3
  17. #IG posts @adreameducation
  18. oaragnok
  19. zeprtel
  20. State Ms. Jacquie was born