cos(x)The secondderivative ofvelocity(Newton)Thederivativeof h withrespect to tv ''(t)The secondderivative ofvelocity(Lagrange)Thederivative ofV withrespect to r(Leibniz)Thederivative ofA withrespect to s(Leibniz)A'(s)Thederivative ofA withrespect to s(Lagrange)Thederivative ofP withrespect to xThe firstderivative ofposition (x)(Newton)jerkThe secondderivative ofvelocity(word) -sin(x)thederivativeof cos(x)The derivativeof Area withrespect toradius(Leibniz)The derivativeof Volumewith respectto height(Leibniz)The firstderivativeof position(word)velocityThederivative ofx withrespect to PaccelerationSecondderivativeof position(word)The secondderivative ofh withrespect to th ''(t)A'(r)The derivativeof Area withrespect toradius(Lagrange)V'(h)The derivativeof Volumewith respectto height(Lagrange)cos(x)The secondderivative ofvelocity(Newton)Thederivativeof h withrespect to tv ''(t)The secondderivative ofvelocity(Lagrange)Thederivative ofV withrespect to r(Leibniz)Thederivative ofA withrespect to s(Leibniz)A'(s)Thederivative ofA withrespect to s(Lagrange)Thederivative ofP withrespect to xThe firstderivative ofposition (x)(Newton)jerkThe secondderivative ofvelocity(word) -sin(x)thederivativeof cos(x)The derivativeof Area withrespect toradius(Leibniz)The derivativeof Volumewith respectto height(Leibniz)The firstderivativeof position(word)velocityThederivative ofx withrespect to PaccelerationSecondderivativeof position(word)The secondderivative ofh withrespect to th ''(t)A'(r)The derivativeof Area withrespect toradius(Lagrange)V'(h)The derivativeof Volumewith respectto height(Lagrange)

Derivative Notation Bingo - Call List

(Print) Use this randomly generated list as your call list when playing the game. There is no need to say the BINGO column name. Place some kind of mark (like an X, a checkmark, a dot, tally mark, etc) on each cell as you announce it, to keep track. You can also cut out each item, place them in a bag and pull words from the bag.


1
2
3
4
5
6
7
8
9
10
11
12
13
14
15
16
17
18
19
20
21
22
23
24

  1. cos(x)
  2. The second derivative of velocity (Newton)

  3. The derivative of h with respect to t

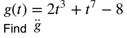
  4. The second derivative of velocity (Lagrange)
    v ''(t)
  5. The derivative of V with respect to r (Leibniz)
  6. The derivative of A with respect to s (Leibniz)

  7. The derivative of A with respect to s (Lagrange)
    A'(s)
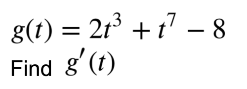
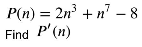
  8. The derivative of P with respect to x
  9. The first derivative of position (x)(Newton)

  10. The second derivative of velocity (word)
    jerk
  11. the derivative of cos(x)
    -sin(x)
  12. The derivative of Area with respect to radius (Leibniz)

  13. The derivative of Volume with respect to height (Leibniz)
  14. velocity
    The first derivative of position (word)
  15. The derivative of x with respect to P
  16. Second derivative of position (word)
    acceleration
  17. h ' '(t)
    The second derivative of h with respect to t
  18. The derivative of Area with respect to radius (Lagrange)
    A'(r)
  19. The derivative of Volume with respect to height (Lagrange)
    V'(h)