parallellinesstretchdiscreteliketermssquareareay-interceptrotationpositivebinomialtrinomialobtuseangledomainrmonomialparabolaperpendicularlinestrianglevariablerightangley=mx+bvolumeacuteanglex-interceptcontinuoustranslationhypotenuseperimeterreflectionrangepentagonslopeshrinkparallellinesstretchdiscreteliketermssquareareay-interceptrotationpositivebinomialtrinomialobtuseangledomainrmonomialparabolaperpendicularlinestrianglevariablerightangley=mx+bvolumeacuteanglex-interceptcontinuoustranslationhypotenuseperimeterreflectionrangepentagonslopeshrink

Trig or Treat 2022 - Call List

(Print) Use this randomly generated list as your call list when playing the game. There is no need to say the BINGO column name. Place some kind of mark (like an X, a checkmark, a dot, tally mark, etc) on each cell as you announce it, to keep track. You can also cut out each item, place them in a bag and pull words from the bag.


1
2
3
4
5
6
7
8
9
10
11
12
13
14
15
16
17
18
19
20
21
22
23
24
25
26
27
28
29
30
31
32
33
34
35
  1. parallel lines
  2. stretch
  3. discrete
  4. like terms
  5. square
  6. area
  7. y-intercept
  8. rotation
  9. positive
  10. binomial
  11. trinomial
  12. obtuse angle
  13. domain
  14. r
  15. monomial
  16. parabola
  17. perpendicular lines
  18. triangle
  19. variable
  20. right angle
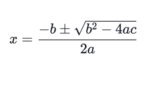
  21. y=mx+b
  22. volume
  23. acute angle
  24. x-intercept
  25. continuous
  26. translation
  27. hypotenuse
  28. perimeter
  29. reflection
  30. range
  31. pentagon
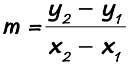
  32. slope
  33. shrink