Sample0.9974SimpleRandomSamplingTechniqueParameterPopulation0.1190142,506Samplest-distribution00.40131z-score0.7462Asymptote1 or100%z-distributionDiscreteRandomVariableStandardDeviationMeanExpectedValuePurposiveSamplingNCnFinitePopulationStatistic0.4801Sample0.9974SimpleRandomSamplingTechniqueParameterPopulation0.1190142,506Samplest-distribution00.40131z-score0.7462Asymptote1 or100%z-distributionDiscreteRandomVariableStandardDeviationMeanExpectedValuePurposiveSamplingNCnFinitePopulationStatistic0.4801

BINGO MATH - Call List

(Print) Use this randomly generated list as your call list when playing the game. There is no need to say the BINGO column name. Place some kind of mark (like an X, a checkmark, a dot, tally mark, etc) on each cell as you announce it, to keep track. You can also cut out each item, place them in a bag and pull words from the bag.


1
2
3
4
5
6
7
8
9
10
11
12
13
14
15
16
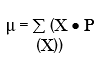
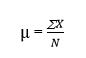
17
18
19
20
21
22
23
24
25
26
27
28
29
  1. Sample
  2. 0.9974
  3. Simple Random Sampling Technique
  4. Parameter
  5. Population
  6. 0.1190
  7. 142,506 Samples
  8. t-distribution
  9. 0
  10. 0.4013
  11. 1
  12. z-score
  13. 0.7462
  14. Asymptote
  15. 1 or 100%
  16. z-distribution
  17. Discrete Random Variable
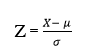
  18. Standard Deviation
  19. Mean
  20. Expected Value
  21. Purposive Sampling
  22. NCn
  23. Finite Population
  24. Statistic
  25. 0.4801