y-y1=m(x-x1)Definepoint-slopeformperpendicularLines withslopes thatare oppositereciprocalsarem=undefinedSlope ofa verticallinem=-4Slope?m=-1Slope?m=15/14Slope?belowShading:<dottedLine:> or <-10y= -6x+2When xis 2, y is?originWhere isthe y-intercept?y=5xStandardformDefineAx+By=CGraph:A line thatcrossesthe y axisat 1solidLine:>= or =<Equation?y=mx+brate ofchangeDefineslopeaboveShading:>m=1/2Slope?Graph:Graph:put itoveroneHow do youmake aninteger slopea fraction?placewhere xaxis iscrossedxinterceptGraph:Graph:y<6x+1Graph:line ofbest fita line thatcan showtrendsover timem=-5/4Slope?m=0Slope?Equation?an equationthat whengraphedmakes astraight linelinearequation10y=2x+4When xis 3, y is?y2-y1/x2-x1SlopeFormulaGraph:2The amountof pointsneeded todraw a lineplacewhere yaxis iscrossedDefiney-interceptparallellines withthe sameslopeEquation?SlopeinterceptformDefiney=mx+by=8x+3Equation?y-y1=m(x-x1)Definepoint-slopeformperpendicularLines withslopes thatare oppositereciprocalsarem=undefinedSlope ofa verticallinem=-4Slope?m=-1Slope?m=15/14Slope?belowShading:<dottedLine:> or <-10y= -6x+2When xis 2, y is?originWhere isthe y-intercept?y=5xStandardformDefineAx+By=CGraph:A line thatcrossesthe y axisat 1solidLine:>= or =<Equation?y=mx+brate ofchangeDefineslopeaboveShading:>m=1/2Slope?Graph:Graph:put itoveroneHow do youmake aninteger slopea fraction?placewhere xaxis iscrossedxinterceptGraph:Graph:y<6x+1Graph:line ofbest fita line thatcan showtrendsover timem=-5/4Slope?m=0Slope?Equation?an equationthat whengraphedmakes astraight linelinearequation10y=2x+4When xis 3, y is?y2-y1/x2-x1SlopeFormulaGraph:2The amountof pointsneeded todraw a lineplacewhere yaxis iscrossedDefiney-interceptparallellines withthe sameslopeEquation?SlopeinterceptformDefiney=mx+by=8x+3Equation?

Module 5 Bingo - Call List

(Print) Use this randomly generated list as your call list when playing the game. There is no need to say the BINGO column name. Place some kind of mark (like an X, a checkmark, a dot, tally mark, etc) on each cell as you announce it, to keep track. You can also cut out each item, place them in a bag and pull words from the bag.


1
2
3
4
5
6
7
8
9
10
11
12
13
14
15
16
17
18
19
20
21
22
23
24
25
26
27
28
29
30
31
32
33
34
35
36
37
38
39
  1. Define point-slope form
    y-y1=m(x-x1)
  2. Lines with slopes that are opposite reciprocals are
    perpendicular
  3. Slope of a vertical line
    m=undefined
  4. Slope?
    m= -4
  5. Slope?
    m=-1
  6. Slope?
    m= 15/14
  7. Shading: <
    below
  8. Line: > or <
    dotted
  9. y= -6x+2 When x is 2, y is?
    -10
  10. Where is the y-intercept? y=5x
    origin
  11. Define Ax+By=C
    Standard form
  12. Graph:
  13. A line that crosses the y axis at 1
  14. Line: >= or =<
    solid
  15. Equation? y=mx+b
  16. Define slope
    rate of change
  17. Shading: >
    above
  18. Slope?
    m=1/2
  19. Graph:
  20. Graph:
  21. How do you make an integer slope a fraction?
    put it over one
  22. x intercept
    place where x axis is crossed
  23. Graph:
  24. Graph: y<6x+1
  25. Graph:
  26. a line that can show trends over time
    line of best fit
  27. Slope?
    m= -5/4
  28. Slope?
    m=0
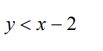
  29. Equation?
  30. linear equation
    an equation that when graphed makes a straight line
  31. y=2x+4 When x is 3, y is?
    10
  32. Slope Formula
    y2-y1/ x2-x1
  33. Graph:
  34. The amount of points needed to draw a line
    2
  35. Define y-intercept
    place where y axis is crossed
  36. lines with the same slope
    parallel
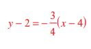
  37. Equation?
  38. Define y=mx+b
    Slope intercept form
  39. Equation?
    y=8x+3