You have five boxes in arow numbered 1 to 5, inwhich a cat is hiding. Everynight, he jumps to anadjacent box, and everymorning, you have onechance to open a box tofind him. How do you winthis game of hide andseek?calculate   If a functionuniquely mapseach element toa target element,does it have aninverse?Prove that thesum of any twoconsecutiveintegers is oddDerive andprove a closedformula tocalculate1+2+3+...+nWhat is 1+1in the fieldwith twoelements?If five cats cancatch five mice infive minutes, howlong will it takeone cat to catchone mouse?Can two functionsappliedsuccessively resultin a differentanswer dependingon the order theywere applied?Howwould youwrite 17 inbinary?Five people wereeating apples, Alicefinished before Bob,but behind Charlie.Diane finished beforeEmily, but behindBob. What was thefinishing order?How manyroots does aquadraticfunction have inthe complexnumbers?differentiate   ProvePythagoras'TheoremYou have two ropes thateach take an hour toburn; however, they burnat inconsistent rates.How can you measure45 minutes? (You canlight one or both ropesand one or both ends ofa rope at once)"Zero is anatural number"- Discuss (500words)(actually just tellme your opinion)Can a functionmap twoelements to thesame targetelement?differentiate   calculate     Is the mapfrom peopleto cats theyadore afunction?Prove thesum of anytwo oddnumbers isevenProve thatthe squareroot of 2 isirrationalHow manypermutationscan youhave with 5objects?How manysubsets arethere in a setof threeobjects?Susan and Lisadecided to play tennisagainst each other.They bet $1 on eachgame they played.Susan won three betsand Lisa won $5overall. How manygames did they play?You have five boxes in arow numbered 1 to 5, inwhich a cat is hiding. Everynight, he jumps to anadjacent box, and everymorning, you have onechance to open a box tofind him. How do you winthis game of hide andseek?calculate   If a functionuniquely mapseach element toa target element,does it have aninverse?Prove that thesum of any twoconsecutiveintegers is oddDerive andprove a closedformula tocalculate1+2+3+...+nWhat is 1+1in the fieldwith twoelements?If five cats cancatch five mice infive minutes, howlong will it takeone cat to catchone mouse?Can two functionsappliedsuccessively resultin a differentanswer dependingon the order theywere applied?Howwould youwrite 17 inbinary?Five people wereeating apples, Alicefinished before Bob,but behind Charlie.Diane finished beforeEmily, but behindBob. What was thefinishing order?How manyroots does aquadraticfunction have inthe complexnumbers?differentiate   ProvePythagoras'TheoremYou have two ropes thateach take an hour toburn; however, they burnat inconsistent rates.How can you measure45 minutes? (You canlight one or both ropesand one or both ends ofa rope at once)"Zero is anatural number"- Discuss (500words)(actually just tellme your opinion)Can a functionmap twoelements to thesame targetelement?differentiate   calculate     Is the mapfrom peopleto cats theyadore afunction?Prove thesum of anytwo oddnumbers isevenProve thatthe squareroot of 2 isirrationalHow manypermutationscan youhave with 5objects?How manysubsets arethere in a setof threeobjects?Susan and Lisadecided to play tennisagainst each other.They bet $1 on eachgame they played.Susan won three betsand Lisa won $5overall. How manygames did they play?

Graduation Bingo - Call List

(Print) Use this randomly generated list as your call list when playing the game. Place some kind of mark (like an X, a checkmark, a dot, tally mark, etc) on each cell as you announce it, to keep track. You can also cut out each item, place them in a bag and pull words from the bag.


1
N
2
B
3
N
4
I
5
N
6
I
7
O
8
O
9
B
10
B
11
I
12
O
13
O
14
G
15
N
16
B
17
G
18
I
19
G
20
B
21
G
22
G
23
O
24
I
  1. N-You have five boxes in a row numbered 1 to 5, in which a cat is hiding. Every night, he jumps to an adjacent box, and every morning, you have one chance to open a box to find him. How do you win this game of hide and seek?
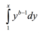
  2. B-calculate
  3. N-If a function uniquely maps each element to a target element, does it have an inverse?
  4. I-Prove that the sum of any two consecutive integers is odd
  5. N-Derive and prove a closed formula to calculate 1+2+3+...+n
  6. I-What is 1+1 in the field with two elements?
  7. O-If five cats can catch five mice in five minutes, how long will it take one cat to catch one mouse?
  8. O-Can two functions applied successively result in a different answer depending on the order they were applied?
  9. B-How would you write 17 in binary?
  10. B-Five people were eating apples, Alice finished before Bob, but behind Charlie. Diane finished before Emily, but behind Bob. What was the finishing order?
  11. I-How many roots does a quadratic function have in the complex numbers?
  12. O-differentiate
  13. O-Prove Pythagoras' Theorem
  14. G-You have two ropes that each take an hour to burn; however, they burn at inconsistent rates. How can you measure 45 minutes? (You can light one or both ropes and one or both ends of a rope at once)
  15. N-"Zero is a natural number" - Discuss (500 words) (actually just tell me your opinion)
  16. B-Can a function map two elements to the same target element?
  17. G-differentiate
  18. I-calculate
  19. G-Is the map from people to cats they adore a function?
  20. B-Prove the sum of any two odd numbers is even
  21. G-Prove that the square root of 2 is irrational
  22. G-How many permutations can you have with 5 objects?
  23. O-How many subsets are there in a set of three objects?
  24. I-Susan and Lisa decided to play tennis against each other. They bet $1 on each game they played. Susan won three bets and Lisa won $5 overall. How many games did they play?