6164y y = 4-131 - 2x x = 725 - n n = 320-2x + 2 x= - 4-6x - 2x x = 618111 - 2x x= -5-1519n + 7 n=1293-119 - y y = -2154153b b = 5142n + 4 n = 512x + x + x x = 4-13x - 1 x = 052n - 1 n = 3102x + 3x x = 284n n = 273x+y x=2, y=106 - x x = 66164y y = 4-131 - 2x x = 725 - n n = 320-2x + 2 x= - 4-6x - 2x x = 618111 - 2x x= -5-1519n + 7 n=1293-119 - y y = -2154153b b = 5142n + 4 n = 512x + x + x x = 4-13x - 1 x = 052n - 1 n = 3102x + 3x x = 284n n = 273x+y x=2, y=106 - x x = 6

Simple Algebra Substitution - Call List

(Print) Use this randomly generated list as your call list when playing the game. There is no need to say the BINGO column name. Place some kind of mark (like an X, a checkmark, a dot, tally mark, etc) on each cell as you announce it, to keep track. You can also cut out each item, place them in a bag and pull words from the bag.


1
2
3
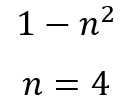
4
5
6
7
8
9
10
11
12
13
14
15
16
17
18
19
20
21
22
23
24
25

  1. 6
  2. 4y y = 4
    16
  3. 1 - 2x x = 7
    -13
  4. 5 - n n = 3
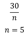
    2

  5. 20
  6. x + 2 x= - 4
    -2
  7. x - 2x x = 6
    -6

  8. 18
  9. 1 - 2x x= -5
    11

  10. -15
  11. n + 7 n=12
    19

  12. 9

  13. 3
  14. 9 - y y = -2
    -11

  15. 15

  16. 4
  17. 3b b = 5
    15
  18. 2n + 4 n = 5
    14
  19. x + x + x x = 4
    12
  20. 3x - 1 x = 0
    -1
  21. 2n - 1 n = 3
    5
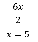
  22. 2x + 3x x = 2
    10
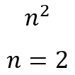
  23. 4n n = 2
    8
  24. 3x+y x=2, y=1
    7
  25. 6 - x x = 6
    0