y-interceptVolumeformulafor aprism2basesdiameterriseoverrunRectanglec=πd Free!slopecongruent3.14Meanradiuspyramid<sidesArea ofthebaseArea ofparallelogram(square/rectangle)Volumeformulafor apyramidproportionalcirclegraphrange-4>Interquartilerangex=8median/Q2constant ofproportionalityTriangularpyramidangles6 inMedianTriangleModey-interceptVolumeformulafor aprism2basesdiameterriseoverrunRectanglec=πd Free!slopecongruent3.14Meanradiuspyramid<sidesArea ofthebaseArea ofparallelogram(square/rectangle)Volumeformulafor apyramidproportionalcirclegraphrange-4>Interquartilerangex=8median/Q2constant ofproportionalityTriangularpyramidangles6 inMedianTriangleMode

7th Grade math - Call List

(Print) Use this randomly generated list as your call list when playing the game. There is no need to say the BINGO column name. Place some kind of mark (like an X, a checkmark, a dot, tally mark, etc) on each cell as you announce it, to keep track. You can also cut out each item, place them in a bag and pull words from the bag.


1
2
3
4
5
6
7
8
9
10
11
12
13
14
15
16
17
18
19
20
21
22
23
24
25
26
27
28
29
30
31
32
33
34
35
36
37
38
39
40
41
42
43
44
  1. y-intercept
  2. Volume formula for a prism
  3. 2 bases
  4. diameter
  5. rise over run
  6. Rectangle
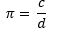
  7. c=π d
  8. Free!
  9. slope
  10. congruent
  11. 3.14
  12. Mean
  13. radius
  14. pyramid
  15. <
  16. sides
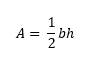
  17. Area of the base
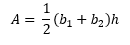
  18. Area of parallelogram (square/rectangle)
  19. Volume formula for a pyramid
  20. proportional
  21. circle graph
  22. range
  23. -4
  24. >
  25. Interquartile range
  26. x=8
  27. median /Q2
  28. constant of proportionality
  29. Triangular pyramid
  30. angles
  31. 6 in
  32. Median
  33. Triangle
  34. Mode