Nearestthousandth     Expo to Log    Expand    Nearestthousandth    Log to Expo    To the nearestthousandth    Evaluate    Expand    Condense    Expand    Evaluate     PowerProperty    Evaluate    ProductProperty   Expo to Log    Expo to Log    Condense    Evaluate    Expand    Expo to Log    Condense    Condense    Expo to Log    Condense    Nearestthousandth     Expo to Log    Expand    Nearestthousandth    Log to Expo    To the nearestthousandth    Evaluate    Expand    Condense    Expand    Evaluate     PowerProperty    Evaluate    ProductProperty   Expo to Log    Expo to Log    Condense    Evaluate    Expand    Expo to Log    Condense    Condense    Expo to Log    Condense    

Logarithm Bingo! - Call List

(Print) Use this randomly generated list as your call list when playing the game. Place some kind of mark (like an X, a checkmark, a dot, tally mark, etc) on each cell as you announce it, to keep track. You can also cut out each item, place them in a bag and pull words from the bag.


1
B
2
I
3
N
4
I
5
O
6
N
7
G
8
G
9
G
10
B
11
G
12
B
13
O
14
G
15
O
16
N
17
N
18
I
19
O
20
I
21
B
22
O
23
B
24
I
  1. B-Nearest thousandth
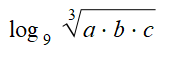
  2. I-Expo to Log
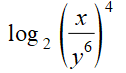
  3. N-Expand
  4. I-Nearest thousandth
  5. O-Log to Expo
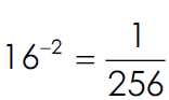
  6. N-To the nearest thousandth
  7. G-Evaluate
  8. G-Expand
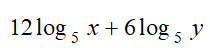
  9. G-Condense
  10. B-Expand
  11. G-Evaluate
  12. B- Power Property
  13. O-Evaluate
  14. G-Product Property
  15. O-Expo to Log
  16. N-Expo to Log
  17. N-Condense
  18. I-Evaluate
  19. O-Expand
  20. I-Expo to Log
  21. B-Condense
  22. O-Condense
  23. B-Expo to Log
  24. I-Condense