radiusof acircleV=BhFormulaforvolume ofa prismArc lengthformula(inradians)Area of aregularpolygonformulaFormulaforvolume ofa spherechordof acircleSurfacearea of apyramidPythagorean'sformulaFormulaforvolume ofa coneArea of asector ofa circle(degrees)Find ahexagonalpyramid.Surfacearea ofa prismDiameterof acircleSurfacearea of acylinderTo convertfrom degreesto radians,you multiplyby ....?Surfacearea ofa coneTo convertfrom radiansto degrees,you multiplyby....?!Factorialcosine=?Does affecttheoccurrenceof anotherevent.Dependenteventstangent=?PiSurfacearea of asphereV =(1/3)BhFormulaforvolume ofa pyramidStandardform for acircleequation30-60-90triangleDoes NOTaffect theoccurrenceof anotherevent.Independenteventssine=?What doesa triangularprism looklike?Area of atriangleformulaCombinationformulaWhatdoes aCylinderlook like?Permutationformularadiusof acircleV=BhFormulaforvolume ofa prismArc lengthformula(inradians)Area of aregularpolygonformulaFormulaforvolume ofa spherechordof acircleSurfacearea of apyramidPythagorean'sformulaFormulaforvolume ofa coneArea of asector ofa circle(degrees)Find ahexagonalpyramid.Surfacearea ofa prismDiameterof acircleSurfacearea of acylinderTo convertfrom degreesto radians,you multiplyby ....?Surfacearea ofa coneTo convertfrom radiansto degrees,you multiplyby....?!Factorialcosine=?Does affecttheoccurrenceof anotherevent.Dependenteventstangent=?PiSurfacearea of asphereV =(1/3)BhFormulaforvolume ofa pyramidStandardform for acircleequation30-60-90triangleDoes NOTaffect theoccurrenceof anotherevent.Independenteventssine=?What doesa triangularprism looklike?Area of atriangleformulaCombinationformulaWhatdoes aCylinderlook like?Permutationformula

Geometry Final Exam Review - Call List

(Print) Use this randomly generated list as your call list when playing the game. There is no need to say the BINGO column name. Place some kind of mark (like an X, a checkmark, a dot, tally mark, etc) on each cell as you announce it, to keep track. You can also cut out each item, place them in a bag and pull words from the bag.


1
2
3
4
5
6
7
8
9
10
11
12
13
14
15
16
17
18
19
20
21
22
23
24
25
26
27
28
29
30
31
32
33
  1. radius of a circle
  2. Formula for volume of a prism
    V=Bh
  3. Arc length formula (in radians)
  4. Area of a regular polygon formula
  5. Formula for volume of a sphere
  6. chord of a circle
  7. Surface area of a pyramid
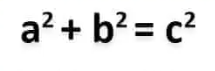
  8. Pythagorean's formula
  9. Formula for volume of a cone
  10. Area of a sector of a circle (degrees)
  11. Find a hexagonal pyramid.
  12. Surface area of a prism
  13. Diameter of a circle
  14. Surface area of a cylinder
  15. To convert from degrees to radians, you multiply by ....?
  16. Surface area of a cone
  17. To convert from radians to degrees, you multiply by....?
  18. Factorial
    !
  19. cosine=?
  20. Dependent events
    Does affect the occurrence of another event.
  21. tangent=?
  22. Pi
  23. Surface area of a sphere
  24. Formula for volume of a pyramid
    V = (1/3)Bh
  25. Standard form for a circle equation
  26. 30-60-90 triangle
  27. Independent events
    Does NOT affect the occurrence of another event.
  28. sine=?
  29. What does a triangular prism look like?
  30. Area of a triangle formula
  31. Combination formula
  32. What does a Cylinder look like?
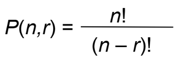
  33. Permutation formula