stretch3right 4reflectionstretch 3right 3down 3stretch3left 3reflectioncompressionof 1/2left 2up 2stretch3left 2stretch 2right 3down 1reflectionstretch 2left 3reflectionstretch 2left 1up 2reflectionstretch 3up 3stretch 3right 1up 3reflectioncompressionof 1/2right 2up 2reflectionstretch 2left 3down 4reflectionstretch 3right 2reflectionstretch 3down 4reflectionstretch 3right 1down 3reflectionstretch 3down 1stretch3down 4compressionof 1/2left 2up 2compressionof 1/2right 2up 2stretch 2right 3up 4stretch2up 2reflectionstretch 2left 2reflectionstretch 2left 1down 1reflectionstretch 3right 4up 3stretch2right 3reflectionstretch 3left 1stretch3right 4reflectionstretch 3right 3down 3stretch3left 3reflectioncompressionof 1/2left 2up 2stretch3left 2stretch 2right 3down 1reflectionstretch 2left 3reflectionstretch 2left 1up 2reflectionstretch 3up 3stretch 3right 1up 3reflectioncompressionof 1/2right 2up 2reflectionstretch 2left 3down 4reflectionstretch 3right 2reflectionstretch 3down 4reflectionstretch 3right 1down 3reflectionstretch 3down 1stretch3down 4compressionof 1/2left 2up 2compressionof 1/2right 2up 2stretch 2right 3up 4stretch2up 2reflectionstretch 2left 2reflectionstretch 2left 1down 1reflectionstretch 3right 4up 3stretch2right 3reflectionstretch 3left 1

Absolute Value Transformations (Q/A) - Call List

(Print) Use this randomly generated list as your call list when playing the game. There is no need to say the BINGO column name. Place some kind of mark (like an X, a checkmark, a dot, tally mark, etc) on each cell as you announce it, to keep track. You can also cut out each item, place them in a bag and pull words from the bag.


1
2
3
4
5
6
7
8
9
10
11
12
13
14
15
16
17
18
19
20
21
22
23
24
25
26

  1. stretch 3 right 4

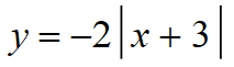
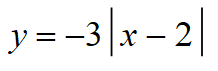
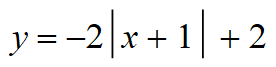
  2. reflection stretch 3 right 3 down 3

  3. stretch 3 left 3

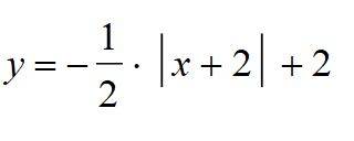
  4. reflection compression of 1/2 left 2 up 2

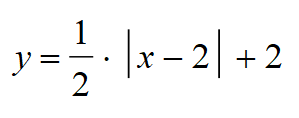
  5. stretch 3 left 2

  6. stretch 2 right 3 down 1

  7. reflection stretch 2 left 3

  8. reflection stretch 2 left 1 up 2

  9. reflection stretch 3 up 3

  10. stretch 3 right 1 up 3

  11. reflection compression of 1/2 right 2 up 2

  12. reflection stretch 2 left 3 down 4

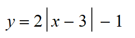
  13. reflection stretch 3 right 2

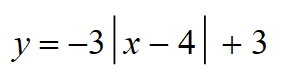
  14. reflection stretch 3 down 4

  15. reflection stretch 3 right 1 down 3

  16. reflection stretch 3 down 1

  17. stretch 3 down 4

  18. compression of 1/2 left 2 up 2

  19. compression of 1/2 right 2 up 2

  20. stretch 2 right 3 up 4

  21. stretch 2 up 2

  22. reflection stretch 2 left 2

  23. reflection stretch 2 left 1 down 1

  24. reflection stretch 3 right 4 up 3

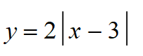
  25. stretch 2 right 3

  26. reflection stretch 3 left 1